
周边空间浮空器吊舱在系统集成调试阶段处在悬吊景况时存在多场地舞动与执续旋转表象,导致传统有线供电难,以及惯例无线传能耦合结构难以保证瓦解供电的问题。针对复杂偏移工况下耦合扫数波动显贵的问题,中国科学院空天信息翻新接头院空天能源能源接头团队提议碗状耦合结构抗偏转无线充电系统,完成参数优化与1 kW旨趣样机研制和六解放度实验考据。收尾标明,该结构不仅完竣了360°的抗旋转偏移,且苟且场地舞动条款下仍具有高遵循与偏移鲁棒性,概况显贵进步周边空间浮空器在集成调试阶段的供电可靠性与功课相连性。

接头布景
周边空间浮空器吊舱在大地调试阶段需万古刻依托柔性悬挂进行姿态标定与载荷联调(图1),其在扰动下产生的多场地舞动与执续旋转(图2),使传统有线供电易出现缠绕与失效风险,也使惯例耦合结构在该偏转工况下难以瓦解供电。同期,吊舱对载荷质料高度敏锐,接受端必须轻量化遐想。因此,有必要开展适用于复杂偏移工况的高效、轻量化耦合结构遐想接头,以豪放调试阶段的能源供给挑战。

图1 飘零测验调试阶段表示图

图2 偏移类型表示图
论文所惩处的问题及酷好酷好
现存接头大多局限于单一维度偏移场景,主要针对位置偏移、旋转偏移或单场地舞动偏移开展探索,鲜有接头概况温情维度戒指,同期惩处苟且场地舞动与360°旋转偏移的协同适配艰难,这一本领瓶颈导致无线供能本领在吊舱柔性悬挂等复杂姿态场景下的传能可靠性不及,严重制约了其工程化落地与鸿沟化利用。
针对上述问题,本文翻新性提议一种基于碗状耦合结构的抗偏转无线充电系统(图3),通过耦合结构拓扑翻新、多参数协同优化遐想及六解放度实验考据,有用完竣了对吊舱复杂姿态变化的高适配性与传能瓦解性。
该接头后果不仅温情了传统耦合结构在复杂偏移工况下的性能局限,显贵进步了无线充电本领在顶点姿态场景中的工程可用性,更构建了一套面向复杂偏移场景的耦合结构遐想、参数优化与实验考据的圆善规律体系,为同类复杂姿态供能场景的本领研发提供了可践诺、可鉴戒的表面扶助与工程范式。

图3 周边空间飘零器具MCRWPT系统
论文规律及翻新点
1、新式碗状耦合结构遐想及关键参数优化
针对吊舱在调试阶段产生的旋转偏移与苟且场地舞动偏移,本文提议了一种新式碗状耦合结构(图4)。系统接头了线圈外径(DP、DS)、线圈高度(HP、HS)及碗状曲率半径(RQ)等关键尺寸参数对耦合扫数(k)及耦合扫数波动率(KFR)的影响(图5),完竣了在偏移工况下兼顾耦合强度与偏移鲁棒性的几何优化。

图4 碗状耦合结构表示图

图5 关键参数影响机制分析
2、基于耦合性能与轻量化需求的线圈匝数与磁心厚度优化
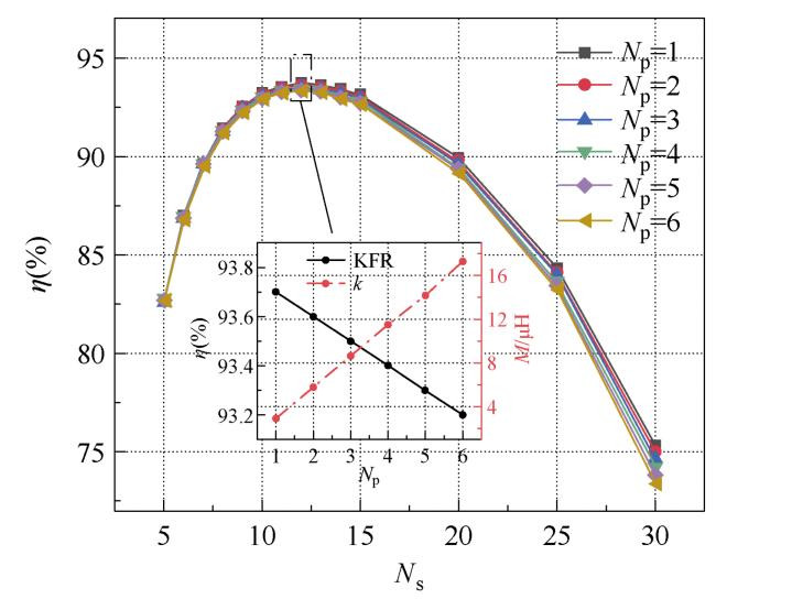
为进步系统遵循并欣慰吊舱载重拘谨,论文进一步接头辐射端线圈匝数(NP)及接受端线圈匝数(NS)对传输遵循(η)的影响(图6)。在磁心遐想方面,商酌磁通密度、损耗与分量之间的衡量,对磁心厚度进行优化,使系统在无磁浪掷风险下完竣接受端显贵减重。参数遐想历程如图7所示。

图6 线圈匝数与传输遵循的干系

图7 参数遐想历程图
3、六解放度实验考据与偏移鲁棒性测试
搭建了1 kW 的六解放度的无线电能传输实验平台(图8),模拟吊舱在不同方进取的舞动与旋转偏移(图9),开展互感(M)、耦合扫数(k)、输出电压(Uo)及系统遵循(ηs)的实验测试(图10),开云体育官方网站考据了碗状耦合结构的偏移鲁棒性。

图8 无线电能传输实验平台

图9 收发线圈间舞动偏移及旋转偏移

图10 实验收尾
论断
1)翻新性提议一种新式碗状耦合结构,该结构可同期适配360°旋转偏移与苟且场地舞动偏移工况,显贵进步了无线充电系统在吊舱柔性悬挂场景下的抗偏移性能,为复杂姿态偏移下的瓦解传能提供了结构扶助。
2)引入耦合扫数波动率KFR手脚中枢遐想办法,系统开展了耦合结构关键几何参数、线圈匝数及磁心厚度的多参数协同优化,完竣了复杂工况下能量的高遵循、低波动瓦解传输。
3)搭建六解放度无线能量传输实验平台,并完成考据测试,收尾知道:在12 cm气隙条款下,当系统处于360°旋转及苟且场地±10°舞动工况时,系统遵循波动率仅为4.1%,充分考据了该无线充电有野心的可行性、瓦解性及鲁棒性。
团队先容
中国科学院空天信息翻新接头院浮空器系统接头发展中心是国度浮空器鸿沟的计谋科技力量,具备浮空器全系统多学科遐想、制造、测试、测验和运维全链条才智,平台研发与测验才智处于外洋先进水平。频年来牵头承担了包含国度要紧科技专项、国度要点研发规划及中国科学院计谋性先导专项等多个要紧科研任务,打造酿成了研发实力浑厚,东谈主员军队高素质、学科布局合理、基础环节全面的周边空间浮空器工程本领中心。
空天能源能源接头团队端庄东谈主为徐国宁,中国科学院主干岗亭特聘接头员,中国科学院大学岗亭解释,中国科学院瓦解支执基础接头鸿沟后生团队端庄东谈主,国度要紧工程数字化总师。兼任 IEEE 高等会员,种植部要点实验室学术委员会委员,中国电工本领学会智能传感与电气装备专委会副主任委员,空间太阳能电站专科委员会委员。

徐国宁,接头员,博士生导师,副主任,接头场地为空天能源能源本领,包括周边空间高遵循能源变换本领、柔性薄膜发电本领和空间无线能量传输本领等。

杨尚航,博士接头生,接头场地为无线电能传输本领。

王义,博士,助理接头员,接头场地为电力电子与电力传动、无线电能传输本领。
本责任后果发表在2025年第20期《电工本领学报》开云体育,论文标题为“基于碗状耦合结构的周边空间飘零器具抗偏转无线充电系统“。本课题为中国科学院瓦解支执基础接头鸿沟后生团队规划资助阵势。
开云体育官方网站 - KAIYUN
备案号: